10 Brag Sheet Template Pdf



3302019 23355 pm. Indicate if frocked or selectee.

Build Yourself A Glowing Brag Sheet Fastweb

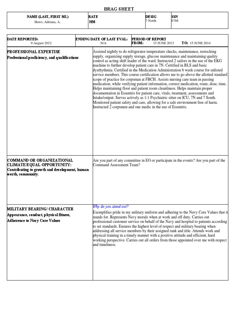
Enlisted evaluation report input sheet brag sheet administrative data.

Brag sheet template pdf. Dont be afraid to brag about yourself a little. If usnr on active duty indicate status such as extended active duty tar adsw oyr canrec at. Microsoft word brag sheet templatedocx created date.

To begin the blank utilize the fill sign online button or tick the preview image of the blank. Rate and warfarequalification designators. Your counselor and teachers will use this information in recommending you for scholarships college admission and other honorsawards.

List your extracurricular activities. The advanced tools of the editor will direct you through the editable pdf template. My brag sheet extracurricular activities school activitiesclub memberships athletics etc.

The advanced tools of the editor will guide you through the editable pdf template. This exercise will give the students an opportunity to develop an enlisted fitness or evaluation report input brag sheet. List any volunteer and community service experiences.

Senior brag sheet please fill out this form as accurately and completely as possible. How did they change or affect you. Enter your official identification and contact details.

Enter your official contact and identification details. What were the experiences like. Activity name position held hours per week academic years involved experience skills gained non school activities i participated in these activities outside of school.

To get started on the document utilize the fill sign online button or tick the preview image of the form. Tips on how to fill out the brag sheet for computer form on the internet. How you can complete the brag sheet personal data for a letter of recommendation form on the internet.

Indicate if changed during period. Enlisted evaluation report input sheet brag sheet a.

123 Brag Sheet 1 Nursing Patient

Free 19 Fact Sheet Examples Amp Samples In Word Pages Pdf

Brag Sheet Template Student Financial Aid In The United

Fill Other Free Fillable Pdf Forms

Brag Sheet Counseling Leuzinger High School

Build Yourself A Glowing Brag Sheet Fastweb

Senior Brag Sheet Sample In Word And Pdf Formats

Brag Sheet Template Fill Online Printable Fillable Blank

Top 5 Senior Brag Sheets Free To Download In Pdf Format


Belum ada Komentar untuk "10 Brag Sheet Template Pdf"

Posting Komentar

Iklan Atas Artikel

Iklan Tengah Artikel 1

Iklan Tengah Artikel 2

Iklan Bawah Artikel